アカメ雑学

 アカメの生態調査では多くの方のご協力をいただいています。こうした調査で明らかになったことを可能な限りこの場所で報告していきたいと思っています。共同調査の場合のことなどもあり、勝手に発表できないこともあります。文書として発表されたのち、ここに掲載することもありますのでどうかご了承ください。

 


鹿児島県肝属郡肝付町広瀬川河口の定置網に入ったアカメ(2020.10.8掲載)

  2019年5月23日、かごしま水族館の宮崎 亘さんから嬉しいメールをいただきました。

 「御無沙汰しております。かごしま水族館の宮崎です。

 先日、鹿児島県内之浦の定置網にアカメが入り水族館に運ばれてきました。

 60センチほど(実際は78Bでした)の個体です。

 かなりボロボロの状態だったので現在治療中です。

 今後とうするかは未定です。

 久しぶりのアカメ情報だったので報告でした。」

 というメールです。

  彼とメールのやり取りの中で、水族館にはアカメは展示されていないこと。展示水槽がない。研究用に個体を提供してもよいとのこと。などがあり、私は鹿児島に棲む珍しい魚として水族館で展示することをすすめました。

 宮崎さんは、それでは、アカメの回復状況や餌付けが上手くいけば展示する方向で調整してみるということでした。

  2019年12月6日、また嬉しいメールをもらいました。

「内之浦のアカメ、ようやく今日から展示しました。

  瀕死の状態になっていたので、一時はどうなることかと思いましたが、無事回復してボロボロだった鰭もきれいになりました。」

 よかったよかった。これで初めて、鹿児島県で捕獲されたアカメがかごしま水族館で展示されたのです。

パソコンの不調で掲載が一年以上も遅れてしまいました。  


宮崎 亘さん

 高知大学出身、町田吉彦高知大学名誉教授のもと、ニホンカワウソの調査に取り組む。専門は海藻。

 2008年、海中のアカメ撮影のため、私のところに来て、案内した安芸市穴内海岸で初めてアカメの海中写真撮影に成功。アカメ日記に記事を掲載中。


東京湾でアカメが漁獲されました(2017/3/29掲載)

2017年3月、ネットでアカメを検索してみていると「絶滅危惧種の魚です、アカメ」という記事が目に入りました。見てみると神奈川県横浜市金沢区柴小柴で水揚げされたとあります。以前、2011年11月 横浜市品川で65のアカメがルアーフィッシングで釣られています。今回は漁獲されたようです。

 記事は横浜丸魚(よこはままるうお)株式会社のブログでこの会社は従業員200人を超える大きな水産会社です。写真入りでアカメが紹介されています。

     

画像提供:横浜丸魚株式会社

「特種課の○○社員から珍しいものが入荷しているよと呼びとめられて確認しに行くと、その魚は小柴で水揚げされたアカメと言う魚でした。

熱帯魚ショップの巨大魚コーナーに居る「ナイルパーチ」に似た魚体と思い調べたら、同じスズキ目アカメ科に属する魚でした。

西日本の太平洋沿岸だけに分布し、河口などの汽水域に侵入する大型の肉食魚です。関東で水揚げされるのは非常に珍しく、西からの流れものですね。」(ブログ記事から引用)

 このブログを拝見して、もう少し詳しく知りたいと横浜丸魚社に問い合わせました。

「はじめまして

 御社のブログの記事について教えて頂きたく、よろしくお願い致します。2016.5.7 トピックスとして「絶滅危惧種の魚です、アカメ。」という記事で、「小柴」で水揚げされたと記されていますが,神奈川県の小柴漁港の事でしょうか。

 どこで、いつ、どういう漁法で獲られたものかできるだけ詳しく教えて頂けないでしょうか。当方,「アカメの国」というホームページ(https://akamenokuni.com/)で1998年からアカメの情報発信をしております。

近年、東京湾でアカメが釣られたということでびっくりしたことでした。静岡県の浜名湖では以前からアカメの若魚がみつかっていますが、神奈川県小柴での情報は初めてです。

 どうかよろしくお願いします。

というメ−ルでの質問に対して、丁寧な回答をいただきました。

 ●アカメの水揚げは金沢市柴の小柴で間違いない

 ●漁法は底引網漁

 ●網に入っている時から少し弱り気味で隣接するシーパラダイスに持ち込みも考慮したが衰弱が激しかったので出荷した

 ということでした。

 また、東京湾奥部の江戸川河口で体長285 mmのアカメが採れているようです。

 


律儀なアカメのお話 2013.8.13

 2011年9月15日、釣り人のMさんが、浦戸湾のある場所でアカメを釣り、アーカイバル・タグの調査用に提供したそうです。その時の全長が83センチメートルでした。

 翌2012年9月17日(前年とほぼ同じ時期)、Mさんの友人が、同じポイントでこの標識のついたアカメを釣ります。全長が87センチメートルで1年間で4センチ成長していました。計測後そのままリリースします。

 そして、今年2013年8月10日、Mさんと友人が「あのアカメが釣れたらいいねー」と話しながら釣っていたら、まさかのヒット。釣れたところは今までのポイントのすぐ近くだったそうです。

 三度目はさすがのアカメもかかり所が悪かったのか死亡してしまいます。全長88センチメートルになっていました。

アーカイバル・タグは赤丸で囲んだものです。手術をして腹の中にも埋め込まれています。

 それにしても、なんと律儀なアカメでしょうか。このアカメもそうですが、これまでの標識放流の再捕データでも、あまり移動をしていません。アカメはあまり動き回るのはイヤなのでしょうか。

 

 


和歌山県で大アカメが釣られました 2013.8.12

 6月にサンプルや情報を頂いた和歌山県の坂東 俊哉さんから、新聞のコピーを送ってもらいました。

 2013年7月22日、和歌山県白浜町富田川河口で全長117センチメートルのアカメが釣られました。釣ったのは林 義輝さんで、ルアーでチヌを狙っていたそうです。

 8月11日、和歌山の方からメールで「このアカメが釣られ夜、同じ場所でアカメが目撃されている」「その後、他の場所でもアカメが群れで泳いでいるのが目撃された」という情報をもらいました。また、「本州でこれほどアカメが居るということは、高知のアカメが移動してきているというということでしょうか」という質問をいただいたのですが「全国のアカメの分布や捕獲、目撃される情報から、またアカメの生態調査からみて、各地で生活史のサイクルがあるのだろうと思っています」とお答えしました。


 
兵庫県での初アカメ 2013.6.27

 2013年5月31日 金曜日 午後9:09 とても嬉しいメールが届きました。

 「アカメの国」を見てくれている兵庫県の中村さんという方からです。

 2013年5月28日、兵庫県の明石大橋近くの海でアカメを捕獲したとのことでした。

 全長79センチ 

 体重7.4キロ

 釣具屋さんで計測、確認してもらったそうです。

 

      尻鰭                      胸鰭            尾鰭

  

背鰭棘条       背鰭軟条

 

中村さん、ご連絡ありがとうございました。初めて確認された兵庫県のアカメです。捕獲おめでとうございました。


和歌山のアカメ 2013.6.28

 以前からお世話になっている和歌山県の坂東 俊哉さんから25日、嬉しいメールが届きました。坂東さんはお魚関係の仕事をされていて、和歌山の魚市場に出荷されたアカメを落札したのです。

 捕れたのは24日、和歌山県日高郡由良町の定置網だそうです。

 

     

             2013年5月25日和歌山市中央市場に出荷されたアカメ           届いたサンプル

 全長:87cm

  標準体長:76cm

  体重:10.8kg

 坂東さんが落とした落札価格は1キロあたり1800円だったそうです。坂東さんの釣り仲間が一度は食べてみたいということでたまたま落としたそうです。友人は半分、坂東さんが半分料理したそうで、鱗と骨が硬くてたいへんだったそうです。ご友人も同じ感想で「クエよりも鱗が硬い」といっていたそうです。仲間のみなさんで塩焼き、刺身、鍋にして食べられたそうで、その感想は「脂がのっていて美味しい」「脂ののったスズキを上品にした感じ」「脂ののりが凄い」だったそうです。

      

  精巣             腹鰭付け根の鱗状突起             鰓耙

 

 坂東さんによりますと年に1〜2度は徳島からの荷物に混じって和歌山の市場にアカメが入荷するそうです。その際、だいたいスズキの値段を参考にアカメの値段が決まっているそうです。いつも同じ業者さんが買って、大阪方面に持っていくそうです。昨年の衣奈のアカメもこの業者が落としたそうです。

 昨年も同じ定置網で捕獲されたアカメ

捕獲日:2012年10月21日

体重:13kg

 このほかにも今年の3月の後半に日高川河口で70cmのアカメがルアーで釣られ、去年の12月8日に紀ノ川の河口で刺し網で34cm、700グラムのアカメがあがっています。あと未確認ですが、目撃情報もいろいろあります。最近、和歌山でのアカメの情報が多くなっていると感じます。

 とのことです。

 

                       和歌山新報2012.12.8

 坂東さんのご友人木村さんから入手していただいた和歌山新報の記事です。

 坂東俊哉さん、今回はたいへん貴重なデータを提供していただきありがとうございました。また木村さまご協力ありがとうございました。


アカメモドキのデータ 2009.9.1

画像:宮里 弥杉さん提供 09.8.26撮影

  沖縄在住の宮里弥杉さんという方からメールをいただきました。 2009年8月26日、アカメモドキを釣り上げられ、 持って帰って食べようと思いその場でウロコと内臓を除去されたそうです。 その後に私のホームページでサンプルの記事を見られたそうです。

 アカメモドキのデータをいただきました。

 ● 日時:2009年8月26日 0時15分  ●釣獲場所:那覇市 三重城(みえぐすく)漁港  ●エサ:テンジクダイ(生餌) ● 全長:約37cm

 電話でお話を伺うと最初に餌にするテンジクダイを釣りそれを生きたままエサに使うそうです。アカメモドキはたまに釣れるお魚で50センチほどもある大物も釣れることがあると言います。小魚の生き餌を使って釣るのですからアカメモドキもフィッシュイーターだということがわかります。

 宮里さん、ありがとうございました。


オキノフナ(種子島のアカメ)の調査09.8.7 (2009年8月8日掲載)

 

 種子島のヒラスズキの名手、園田さん

 2009年6月28日、鹿児島県種子島の友人、園田さんから久しぶりのメールが届きました。ドキリとする内容でした。「昨日、夕方オキノフナを釣りました。かなりメタボで卵パンパンのようです」。必要ならサンプルに送ってくれるとあります。

 早速電話をかけました。園田さんによると全長からするとかなり体重があるし、お腹がぷっくりとふくれている、とのことです。是非欲しいので送っていただきたい。ただ我が家の冷凍庫はイノシシとシカで満杯なのでしばらく預かってもらえないかとお願いしました。快く承諾していただきました。

 いつもお世話になっている高知大学の町田先生が、8月7日まで時間の余裕がないため、8月6日夕方高知大学到着の時間指定で送っていただきました。

 大型魚をかなりの低温で、かちんかちんに凍らすと解凍がなかなかたいへんです。解体したりするためには長時間解凍する必要があります。それを見越して計測日前日に到着するように計算をしたのですが。

 8月7日、午前九時半に研究室へ伺いました。目に飛び込んだのは大型のタッパに入れられたオキノフナ。三つの水道の蛇口からはじゃあじゃあと水がほとばしっています。

 身体に触ってみると、まだ硬く凍っています。

 しばらく解凍する間に、学生さんや先生たちが見に来ては驚いておりました。

 計測ができるまで解凍がすすんだオキノフナ。あまりにも大きいので撮影場所に困りました。外の自転車置き場へ持っていって撮影もしました。セメントの地面ではうまくいきいません。研究室へ持ち帰り大きな机の上で撮影しました。

 全長953ミリでした。

 さて、この体重を量るのが大変でした。研究室にはないので保健室まで運んで計測。

 体重15300グラムでした。

 

 さて、各部位の計測です。学生さんにお願いしました。

 計測部位数は約40ほどもあります。町田先生の出番です。間違った所を計っていると「尾柄高は一番細いところ」と声が飛びます。

 いよいよ問題の生殖腺を見るために腹を割ることになりました。町田先生から「慣れている長野さんにやってもらいましょう」、私の出番です。

 町田先生が「このナイフは何処のモノか判りますか」、お土産にもらったものだそうで一度も使ったことがないそうです。北欧のナイフでした。北欧のナイフは形状に特徴があり、昔からスエーデン鋼など有名でよく切れるナイフがつくられています。

 ナイフを入れる所のウロコを取り外します。とても大きくて硬いウロコなので刃がたたないのです。卵巣や内臓にキズをつけないように気を付けながら腹を割っていきます。

 腹の奥の方はまだ凍っていて手が痛いほどです。

画像は町田吉彦先生撮影。

 卵巣を取り出しているところです。

 じつに大きな卵巣です。みんなから「うわーすごい」「これはでかい」と感嘆の声があがります。

 釣獲日が6月27日ですので、もう産卵期に入っています。卵の成熟度をみるのに貴重なサンプルです。

 画像は町田吉彦先生撮影。

 取り出した卵巣は見事な大きさでした。これほど重いサンプルを正確に計るハカリがなかったので、郵便物をあつかう総務課まで持っていって計量してもらいました。

 重さはどれだけあったでしょうか?

 1730グラムでした。

 いったいどれだけの卵数になるのでしょうね。

 卵は75%のエタノールでサンプリングしました。今後、これを調べて卵の成熟度などを見ていくことになります。

 卵巣を取り出したあと、胃を探っていた学生さんが、「何かはいっていますよ」、先生は「割って出してみなさい」。

 出てきたのは大きなボラが2匹、消化がほとんど進んでいなくてウロコもヒレもしっかりしており一目でボラとわかります。きれいに洗ったら刺身にできそうでした。

 一匹は、全長25.0センチ。もう一匹は全長19.5センチでした。

 これだけのサイズの餌が2匹も入っていたのに、それほど胃は張っているようには見えませんでした。卵巣のあまりの大きさに胃のサイズが負けていたのでしょうね。

 計測のあとの記念撮影です。

 画像右から、町田吉彦教授、朝岡 隆(修士1年)さん、山村将士(修士1年)さん、

坪井尚美(修士2年)さん、アカメの国ガイド。

  上記オキノフナ(アカメ)の計測値です。

種名

アカメ(Lates japonicus)

備考

採取年月日

2009年6月27日

採取場所

鹿児島県種子島中種子町

採集者

 園田 豪 

保存

卵巣・筋肉・ウロコなど

アルコール固定標本

高知大学

保存

魚体全体

国立科学博物館

Measurements(計測値)

(長さは全てmm)

1. Total length(全長)

953

2. Standard length (標準体長)

801

3. Head length(頭長)

275.9

4. Snout length(吻長)

51.5

5. Upper jaw length(上顎長)

121.1

6. Eye diameter(眼径)

30.2

7. Interorbital width (両眼間隔)

40.5

8. Postorbital length of head (眼後長)

199.5

9. Predorsal length(背鰭前長)

-

10. Body depth(体高)

288.3

11. Body width(体幅)

125.0

12. Caudal peduncle length(尾柄長)

135.4

13. Caudal peduncle depth(尾柄高)

107.1

14. 3rd dorsal spine(背鰭第3棘長)

119.4

15. 4th dorsal spine

93.9

16. 5th dorsal.spine

81.1

17. 6th dorsal spine

53.3

先端を欠く

18. 7th dorsal spine

41.1

19. Last dorsal spine

39.9

20. Longest dorsal ray(背鰭最長軟条長)

84.9

21. Pectoral fin length(胸鰭長)

117.2

22. Pelvic fin length(腹鰭長)

150.0

23. Caudal fin length(尾鰭長)

143.3

24. 2nd anal spine(臀鰭第2棘長)

49.9

25. 3rd anal spine(臀鰭第3棘長)

45.0

26. Longest anal ray(臀鰭最長軟条長)

97.8


つづく


アカメは高知県絶滅危惧種に該当しない!

その(1)----絶滅危惧IA類(CR)か?

 長野と町田(注1)は,アカメが高知県絶滅危惧IA類に指定されていることに疑問を感じ,検証を試みました。私たちの検証に関し,みなさんからご意見を賜りたいと思います。私たちはそれらを参考に,検証を繰り返すつもりです.もちろん,私たちの検証の最終的な結果について,いずれ県の担当部局からご意見をいただく予定にしております.なお,町田は高知県RDBの作成に関与しましたが,哺乳類分科会に所属しており,汽水・淡水魚類の指定には関与していません.

わたしたちの検証の結果を発表(06.7.29)しました.これによりわたしたちはアカメは高知県レッドデータブックでのカテゴリーIA類には該当しないという結果を得ました.

 続けて検討の結果,環境省が発表したアカメのカテゴリーである準絶滅危惧種よりも一段下のランクである情報不足種に該当するという結論を得(07.2.10)ました.

 2006年8月2日に準絶滅危惧に該当する種だと発表していましたが,長野はうっかり一段下の「情報不足」の要件で検討するという過ちを犯しておりました.高知県レッドデータブック アカメのカテゴリーの検証にその経過と再度の検討と,その結果について掲載してあります.

 

(注1)高知大学理学部自然環境科学科教授 町田吉彦

 


【アカメの餌】08.7.25

 2008.7.22、アカメと自然を豊かにする会の事務局長が昨日に続いて今年3尾目のアカメを釣りました。標識放流したのですが、釣り上げた時に胃の内容物を吐き出しました。

 この「吐き出す」という行動はよくあることで、ルアーなど異物を銜えた場合それを排除しようとする身体の自己防衛と思います。

 7月20日に名古屋の柴山さんが釣られた110センチのアカメも標識放流するためストリンガーに繋いで体力回復をはかっていたとき水中でガボッと胃の内容物を吐き出しました。消化が進んでいて吐き出した餌生物が何かはわかりませんでしたが魚の骨もあったように思います。

 画像は上杉さんが釣ったアカメが吐き出したカニとそのとき使用したルアーです。

 さて、このカニは何というカニなのでしょう?

 何時もお世話になっている高知大学の町田吉彦教授に画像を送って同定をお願いしました。町田先生は高知県のカニについて調査研究を続けられていてたくさんの論文を発表されています。

 先生の同定で、このカニは「ミナミベニツケガニと思われます」ということでした。

このカニは南方系のカニで、南西諸島では河口部のマングローブ林周辺にたくさん生息しているカニだそうですが、本土でも紀伊半島や四国地方など黒潮の影響がある場所の河口域で見られるそうです。河口部の転石下に潜んでいることが多いらしいです。

 

  浦戸湾でたくさんのアカメを釣られているぺこぺこさんも、アカメは大きなエガニをよく食べていると話されていました。

 これまでに私が確認した胃の内容物では、吐き出したもの、胃を割って調べたものをふくめ、ボラ、鮎、カニなどでした。アカメは棲息している場所に多くいる生物、川の増水時など条件によって獲りやすい餌をよく食べているようです。


【アカメ解体】07.10.14

 2007年10月7日、高知大学の研究室でいつも御世話になっている町田先生、学生の阪本さん、松本さん、「アカメと自然を豊かにする会」事務局長の上杉さんにご協力いただきアカメの計測、解体をしました。

 これまでほとんど一人でやってきたことですが、今回は一度に4尾のアカメを処理しないといけなかったのです。最大魚は1メートル、17キログラムです。とても一人では手に負えません。

(写真:●左全長60センチクラスの内臓、♀で卵巣が見えます。●中は1メートルのアカメの耳石、●右、初めて耳石を取り出して記念撮影した松本さん。)

 体長867mm、600mm、567mm、552mmの4尾の個体でしたが、全て♀でした。

 必要な部位はサンプリングしたのですが、膨大なお肉が残りました。この肉はすべて私が飼育しているイノシシに食べさせました。かれらは世界で初めてアカメを食べたイノシシなのかもしれません。

 イノシシはアカメの肉をたべるか?は「山のおもしろい話し」のところで紹介しています。


アカメの保育場はもっと広いかもしれない!

 

2007年2月16日、高知大学で卒業論文発表会があり、新堀川調査で大変お世話になった学生さんたちが、発表するということを聞きつけて聴講にいきました。

 アカメの幼魚がほぼ淡水域のセキショウモ・オオカナダモが繁茂しているその中で 採集されたという報告がありました。

 高知大学理学部海洋生物学研究室の学生、石川晃寛さんの報告でした。石川さんと 共同で調査した,伊佐正樹さん、加藤正洋さんは昨年新堀川での魚類調査で一緒に協力いただいた学生さんです。

 この発表をきいて、心が躍りました。アカメは完全にコアマモだけに依存した脆弱 な魚ではなく、もう少し多様なたくましい生存戦略をもっているかもしれないという ことです。これからも引き続く研究でさらに初期生活について明らかにしていただきたいです。それにしても嬉しい研究発表でした。ありがとうございました。

若き研究者たち

左の写真、左から加藤さん、彼らの先輩の大学院生の阪本さん、今回発表した石川さん、右端は伊佐さんです。

【魚の長さの示し方】2006.7.4

 魚の長さの示し方について、きちんと知りたいと思って探しておりましたら、町田吉彦博士(高知大)の文章を見つけました。町田先生のご承諾をいただくことが出来ましたので下記に転載しました。

 『魚の大きさは通常,標準体長(standard length:SL)と全長(total length: TL)で示します.SLはどちらかというと研究で用います.SLとは,上顎(種によって は吻)の先端から最後の脊椎骨の後端までの水平距離のことで,尾鰭の長さを含みません.尾鰭が傷むケースが多いからです.調査の現場や釣りで得られた魚および尾鰭がはっきりしない魚ではTLを用います.TLとは,上顎と下顎のどちらか前に出ている方の先端,吻が両顎より前にある場合は吻の先端を基点とし,ここから尾鰭の先端まで長さのことです.尾鰭の先端が丸みをおびている場合や垂直の場合は問題がありませんが,尾鰭が上下に2叉(さ)している場合は尾鰭を軽く閉じて測定します.すなわち,魚の全部の長さになります.』

 (以上、「土佐の自然ギャラリー」http://www.k3.dion.ne.jp/~bunkyo/shizenshi/gallery.htm第1集No. 6「アカメと浦戸湾」より著者の許可を得て転載。)

 『付記(2006年7月4日 町田吉彦):尾鰭が上下に2叉している場合、上顎と下顎のどちらか前に出ている方の先端から尾鰭のくびれが始まる点までを測定することがあります。この場合は尾叉長(fork length:FL)と言います。おもに水産学で用いられ、船上作業で大量のサンプルを処理する必要がある場合にはこの測定法が便利です。大きな紙などの上にL字型の物差しを置き、魚の先端をL字の縦に合わせ、千枚通しなどを利用して尾鰭のくびれの開始点を紙に記録(穴をあける)すれば、後からでもL字の縦から穴までの距離を測ることができます。

 アカメの場合は尾鰭の後縁が丸くなっていますから、全長が無難です。注意が必要なのは、SL、TL、FLのすべてが「水平距離=最短距離」という点です。アカメは下顎の先が出ていますから、大物のアカメを地面に置き、下顎の先端から頭と体のふくらみに沿って尾鰭の先端までを巻尺などで測定した場合は全長になりません。あくまで頭と体のふくらみを無視した水平の距離が全長になります。』

「土佐の自然ギャラリー」は「高知に科学博物館をつくる会」のホームページのなかにあります。


魚の成長段階の呼称についての豆知識 06.6.24】

  稚魚とか幼魚とかわたしはあやふやに使ってきました、これではいけないと調べてみました。次のように分けるようです。

●仔魚:仔魚とは、孵化直後から各ヒレの鰭条(きじょう)がそろう直前までの魚。

●稚魚:各ヒレの鰭条(骨)はそろうが、体の多くの部分は発育途中の魚。

●幼魚:種の特徴がほぼわかる体つきだが、体形や模様が成魚とは異なる魚。

●若魚:外見は成魚とかわらないが、繁殖の準備ができていない魚。

●成魚:十分に発育し、繁殖の準備ができている魚。

 

大胆不敵にアカメのサイズ(全長)に適用してみましょう。

○仔魚:数ミリ。

○稚魚:2センチ未満。

○幼魚:2〜30センチ未満。

○若魚:30〜60センチ未満。

○成魚:60センチ以上。

だいたいこんなところになるのでしょう。


【動植物の名前に関して 2006.1.9】

 高知大学理学部の町田吉彦教授に動植物の名前について、教えて頂きました。生物学、魚類学など専門的なことを学んだことがない素人の私はこのホームページであやふやな理解のまま書いておりました。こうしたご指導は、文章の正確さを高めるためにとてもありがたいことです。また、わたしの仲間の釣り人もこのような知識を求める方がおります。先生のご了解を頂けましたのでここで紹介します。

 動植物の名前についての豆知識  高知大学理学部教授 町田吉彦

 動植物の名前は学名(scientific name)と通俗名(vernacular name)に大きく分けることができます。

学名:分類学的な単位(種、属、科、目など=分類群)に与えられた学術上の名前

   ○種を表わす時は、2つの学名の結合(二語名)

   ○亜種を表わす時は、3つの学名の結合(三語名)

   ○種より上位の単位を表わす時は、1つの学名(一語名)

   ○学名は種を表わす時にしか使わないと勘違いしている人が多いのですが、属、科、目などに与えられた学術上の名前

も学名です。

  アカメを例にすると    

   ●アカメの種名=種の学名(species name=name of species)は               

             Lates japonicus

   第1名のLatesを属名と言います(これだけでアカメ属)。

   第2名のjaponicusを種小名と言います。

        

    japonicusがアカメを表わすのではなく、あくまで2語のセットでアカメを表わします。

       このように、種名は

         第1名(属名)+第2名(種小名)の二語名です。

 動物分類学では、第2名を英語でspecific name、植物分類学ではspecific epithetと言います。動物分類学では、古くはこれを種名と訳していたこともありますが、紛らわしいので、種小名という訳語を使用するようになっています。

       

       アカメ属のLates niloticus rudolfianus という亜種名は

           属名+種小名+亜種小名の三語名です

       

    ●Latidaeはアカメ属が属するアカメ科の学名です(一語名)

    ●Perciformesはアカメ科が属するスズキ目の学名です(一語名)

 

   ただし、

    ○種小名と亜種小名は小文字で書き始めなければならない。

    ○種より上の単位の学名は大文字で書き始めなければならない。

    ○属名、種小名、亜種小名はイタリック体(斜字体)が望ましい。

    ○アカメ属の一種の場合、Lates sp. と書きます。

 sp. はspeciesの省略形で、学名ではありませんから、イタリック体にしません。Latesは属名(学名)ですから、イタリック体が望ましい。

    ○アカメ属の複数種の場合、Lates spp. と書きます。

     speciesは単数形も複数形も綴りが同じなので、複数の場合はspp. と表記します。

    ○LatidaeとPerciformesをLATIDAEとかPERCIFORMESとも書き

     ますが、同一の文書内では統一する必要があります。

    

通俗名:学名以外の、一般的に用いられているすべての名前。標準和名、標準和名の別称、地方名、通称、総称、流通名(商品名)、外国名などのすべて。

  ●アカメは標準和名で、通俗名です。

  ●ミノウオは高知県の旧中村市などでアカメを指す地方名で、通俗名です。

  ●Nile perchはLates niloticusの英名で、通俗名です。

  ●標準和名と種名(種の学名)は違いますので、要注意。

 

  ○通俗名は大切

    種名(種の学名)は分類学的にはきわめて大切です。しかし、種名も種を認識する手段の一つでしかありません。

 アカメは標準和名ですが、種名のLates japonicusを知っているのはごく一部の人でしょう。ミノウオと言えば、魚に関心がある多くの土佐人は、アカメの種名や標準和名を知らなくても「眼が赤い、フトイ魚のことぜよ」と理解できます。地方名は、地方の文化の一部ですから、大切にしたいものです。

 

  ○科学的な記述を目的とした文章では、和名を片仮名書きとします。種の和名、属の和名のほか、全てがこれに該当します。論文では「まだい」や「真鯛」は駄目ですが、随筆、小説、短歌、俳句などは科学的な記述が目的ではないので、「まだい」「真鯛」でなんら差し支えはありませんし、一般にマダイは「鯛」「たい」ですからこれもOK。もちろん「マダイ」もOKです。


釣獲記録からみたアカメの成長に伴う回遊と季節回遊(04.3.)

  高知県の釣獲記録による分析からアカメの回遊についてみてみましょう。

  

情報

個体数

全長(cm)

釣獲時期

アンケート

333

18.0-137.0

1983年8月-98年8月

ガイドの記録

161

54.0-129.0

1984年8月-98年8月

新聞・雑誌

48

55.2-130.0

1983年10月-98年8月

合計

542(171)

18.0-137.0

1983年8月-98年8月
 はじめに今回使用した情報の内容です。この情報は三つの方法で集めました。(1)はアンケート調査です。釣り人への直接の依頼のほか、パソコン通信、インターネット、釣り雑誌などにアンケートを掲載しました。そこで47人の釣り人から333個体分の回答をいただきました。(2)は私自身の記録161個体分、(3)は新聞、雑誌から48個体分で、1983年8月から98年8月までの15年間の合計で542個体分のデータが集まりました。表の個体数の合計(171)は釣ってからサイズなどのデータを取らずにリリース(放流)されたものなどです。サイズのデータはそれを差し引いた371個体分集まりました。542個体分全体のデータからは時期、場所などがわかります。それらを分析したものです。

 @釣獲場所の定義

  環境別に、3つの水域に分けました。その定義を先ずご紹介しておきます。

河川域

河口のごく周辺から河川下流部の汽水域

内湾域

地形または構造物により波の影響が抑えられた静穏な海域-沿岸域と比較すると塩分濃度が低い場合が多い

沿岸域

波の影響を強く受ける開放的な海域(砂浜海岸や岩礁海岸等)

              

 沿岸域での主なシーンを写真で紹介します。左側は砂浜海岸(安芸市伊尾木川河口より数十メートル東)、右の写真は知人が磯(岩礁帯)でアカメをかけてファイトしているところです。

 A月別釣獲数

        

 これは釣獲尾数の季節変化をみるためにグラフにしたものです。夏を中心に釣獲数が集中しており、特に8月には全体の1/3が集中的に釣られています。秋風の気配を感じるようになる9月から急激に減少し2月にはまったく釣られていません(2004年の2月に河川内において数尾、釣獲されたという話しがありますが未確認です)。

 B地図上でみる釣獲環境

            

 これは集まった釣獲場所の情報を地図上で示したもので、場所を@の環境別に色分けしたしたものです。緑が河川域、黄色が内湾域、赤が沿岸域です。釣獲数は西部、中部は河川と内湾が多く、東部では沿岸域が多いのが特徴です。

 C環境別・月別釣獲図

             

 これは3水域での釣獲割合を月毎に表したものです。ドットが沿岸域、チェックが内湾域、黒が河川域での釣獲割合を表しています。これで見ますと河川域は春から夏にかけて多く現れ、内湾、沿岸の海域では2月を除いた年間を通じ、また冬季にも釣られていることがわかります。

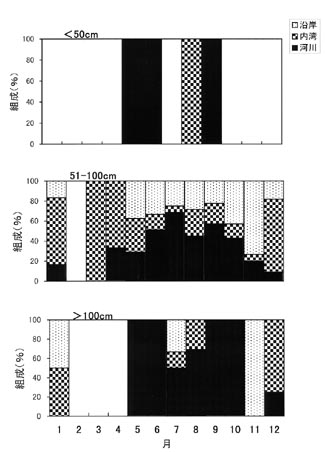
 D全長別組成図

              

 Cの図をこんどはサイズ別に分けてみました(模様は同上です)。上が50cm未満、中が50〜100cm未満、下が100cm以上です。50cm未満のものは個体数が少ないのですが、沿岸域では釣獲されておらず、内湾域と河川域のみで釣獲されているということが特徴です。50〜100cm未満は春から夏に河川域で多く釣獲され、内湾・沿岸域では二月を除いて釣獲されていますが、冬季の比率が高いといえます。そして、100cm以上の大型魚は全体として数は少ないのですが河川域で多く釣獲されています。

 ここまで、海と川・季節による環境別の釣獲状況をみてきましたが、こんどは高知県沿岸での分布を地理的にみてみます。

 E釣獲量を表した地図

            

 これは黒丸の大きさで釣獲量を表したものです。最大の浦戸湾が124尾、四万十川が88尾、奈半利川河口で87尾、最小は室戸市羽根川河口・宿毛市福良川河口などでの1尾となっています。

 つぎはサイズ別にみてみます。

 Fサイズ別釣獲地図

             

 地図、上が50cm未満のサイズで高知県西部と中部で釣獲されています。中は50〜100cm未満です。ほぼ全域で釣られていますが東部で多いことがわかります。下は100cmを超える大型魚ですが、平均的に分散しています。

 下記の模式図にありますように、分析の結果から50cm前後になるまで河口、内湾域で過ごすと思われますので、そうした環境の存在する西部・中部にこのサイズのものは分布が限定されているとおもわれます。保育所であるアマモ場を東部で探したのですが、発見できませんでした。浦戸湾から以東では稚魚の生育場となるような環境はないか、あってもきわめて少ないと予想されます。このような理由によって西・中部の河川域や内湾域で育ったものが50cm前後に成長した頃から沿岸にでて分散・拡大しているものと考えています。成長による回遊です。

 アカメにとってここでみるように稚魚の生育環境のある河口というのはひじょうに大切なのです。アカメを増やそうと思えばここの環境を守り、壊した保育所は建て直していけばいいのです。反対に滅ぼそうと思わなくてもここを公共工事などで破壊したら簡単に絶滅させることができるでしょう。

 G回遊の模式図

 ここで、いままでみてきた回遊についてまとめてみます。

          

 上図は河川域から海域間の成長過程・季節による回遊を模式的にしめしたものです。当歳魚で全長15センチ未満のものは釣獲記録はありませんが、これまでの報告から河川から内湾の汽水域のアマモ場を中心に生息していることが明らかになっています。海域でふ化した仔稚魚は7月を中心に河川域の汽水のアマモ場に進入、定着して成長し、翌年、新しい仔稚魚がアマモ場にはいってくる前に保育所であるアマモ場を離れ河川の汽水域から内湾域へと分布を広げると考えられます。50cmを超えるようになるとさらに広範囲に分散し、河川・内湾の汽水域から海水の沿岸域まで生息域を拡大すると考えられます。このサイズになると春から夏にかけて河川内から沿岸域まで平均的に釣獲されますが、冬季は河川をはなれ内湾から沿岸でのみ釣獲されるようになります。こうしたことから水温の低下とともに相対に暖かい海域へと集中すると考えられます。

 50cmを超す成魚は通年海域にいてそれらの主な生息域は海ということができます。

 終わりに

 これを公表するにあたって、かなり躊躇しました。おわかりと思いますが、具体的な釣獲場所や稚魚のすみかなどを出しております。ただ、釣り場についてはこれまで雑誌や新聞などマスコミで報じられた場所、あるいは極端に少なく狙って釣りに行けるようなところではないなどの場所に限って公表しております。稚魚においては、もうすでにテレビや文書で報道・発表された範囲に限っております。アカメの稚魚はいまだに高価な値段で取り引きされており、アカメにとって稚魚獲りは環境破壊に次ぐ脅威ではないかともいわれます。取り引きされる10センチ前後の幼魚はそのまま親まで成長する率のうんと高い、孵化した仔魚から数十万分の一という生存競争をやっと生き抜いてきた強い子ども達なのです。

 「アカメの国」の広報室で展開していますように、アカメや多くの希少な生物の聖地とも云える内湾の浦戸湾がいまだに公共工事によって埋め立てられ、これからも埋め立て計画が企てられようとしています。わたしたちはその愚かしい行為と闘っています。

 みてきたように、浦戸湾は土佐湾全体のアカメの学園都市ともいえる大事なだいじな、とってもだいじな場所なのです。ここで育って一人前になったアカメたちが室戸岬まで、いや、さらに岬を越して・・・。   そして土佐湾に広がっていくのです。

 アカメを高知市の市の魚「市魚」に制定して、浦戸湾、土佐湾の環境の守り手になってもらおうと制定運動を展開しようとしています。どうぞご協力下さい。

 

 データの分析、グラフの作成などで西日本科学技術研究所、またその生物班のみなさんには言葉では言い尽くせないほどのお世話になりました。特に、高橋勇夫博士、藤田真二博士には、素人のわたしに忍耐強くご指導をいただいきました。厚く御礼申し上げます。データをお寄せ頂いた釣り人のみなさん、ありがとうございました


 骨格標本(04.3.6)

 大学生のIさんが、自分で釣獲したアカメの骨格標本を作られた。ご厚意をいただいて写真と制作方法(ママ)について「アカメの国」に掲載をお許しいただけたのでお見せ致します。

 いやあ!アカメは骨になっても大迫力ですね。わたしもあちこちの部位を煮て骨だけにしているのですが、肉と脂肪を取り去るのがなかなか面倒です。Iさんたいへんだったでしょうね。ありがとうございました。

                     

 『標本作りのノウハウですが、これは魚の種類にもよると思いますが、70〜80センチほどの魚が作りやすいと思います(スズキが簡単)。今回は去年仕留めた大きなアカメを、死んでしまったのでコイツの記録を残してやろうと思って作りましたが、あまり大き過ぎると、骨を煮るとき大きい鍋が必要なので大変です。

 方法は、まず魚の背身と腹側の身を腹骨・中骨を切り落とさないように削ぎとります(もちろん身はおいしく頂きます)。そして、胴体と頭(カマの後まで)をなるべく背骨の付け根で、周りの骨を折ったり、傷めたりしないよう慎重に分離します。次に、背びれ・尻びれを背骨から分離します。このとき背びれの骨が背骨の何番目から、どんな間隔で付いていたのか、チェックします。写真に撮るもいいですし、スケッチするもいいでしょう(*これは全てのパーツにおいて言えます)。残った、尾ひれ・肋骨・中骨だけが付いた背骨を関節で二、三に分けます。後はこれらのパーツを煮て、残った身をシャブリつつ分解し、十分洗浄・乾燥した後にセルロースなどでコーティングして、エポキシ系の速乾タイプの接着剤でくっつけていきます。

 コツは鰭などの細かいところはなるべく分解しないことです。接着剤でなく魚の結合組織で固めてしまいます。背骨も分解せず、3つほどに分けとくぐらいでいいでしょう。骨と骨の間を埋めるには紙粘土も有効です。

 釣獲日:2003年8月11日、全長:112cm、体重:20.5kgのメス個体で、卵巣は萎縮しており、産卵直後の個体と見受けられました。』

 


【アカメの産卵】(1999/11/5より〜)

 アカメはどこで産卵をするのでしょうか。

 実はこれがアカメの生活史で解明されていない大きな謎の一つなのです。

 いつ産卵するのかは私でもだいたい予測をつけることはできます。これまでたくさんのアカメの卵巣を見てきました。釣獲した月によってその状態が違います。しかし、おおよそではなく、ほぼ正確に産卵時期は解明されています。それは採集された仔稚魚の耳石微細輪紋を計数した結果からおもに6〜9月上旬だそうです。また、稚魚の採集量の多かった年では、孵化日は7月下旬の大潮時に集中するという傾向もみられるといいます。

 どこで産卵するのかには、大きく分けて3つの説があります。

その1、河口内の汽水域説

 これは釣り人に一番多く支持されているようです。それは産卵期に一番多く河口に現れて、最も多く釣獲されるという理由からです。こうした現象は確かにあります。しかし、6〜9月、河口部にアカメが多く出現するのは産卵のための行動だと言い切ることはできません。水温とアカメの行動も見なくてはならないし、摂餌行動などもふくめて総合的にみてみる必要があるのです。

 アカメの生涯にわたっての行動を左右するものが水温だと思います。これは釣獲記録からみてもよくわかりますしこれまでの研究からも明らかです。また、アカメ属の生息分布をみるとすべての仲間達は熱帯・亜熱帯であり、アカメは北の温帯に突出して生きているのです。アカメと水温については別の所で述べますが、釣獲数が6〜9月に多いのは河口の汽水域だけではなく海水域でもやはり多いのです。

 私は、これほどの大型魚が河口内で産卵行動をすれば過去、何度か目撃されてもいいのではないかと思うのです。ただ、新月の深夜、河口の深い水底で密かに・・・ということも考えられないこともないのですが。

 希少種といわれていますが沿岸全域をみると沢山います。産卵期間は4カ月前後、大量のアカメが密かに身を隠しながら産卵できる河口部を持つ河川は高知県下に幾つあるでしょう。県東部だけみて検討してみましょう。室戸岬をまわって東洋町のアカメはまあ、徳島県の川へ行ってもらうとして、室戸岬から西では川の中までアカメがはいるのは奈半利川です。これから西は夜須町の夜須川までありません。沿岸、磯や港など海にいるアカメたちがそれらの河川に産卵回遊するのでしょうか。

 室戸や安芸のアカメたちが奈半利川へ集まる?

その2、河口周辺の海域説 

 アカメの研究者として著名な木下泉博士が(JGFA YEARBOOK 1994)に書かれた文書「アカメ」にはラテス・カルカリファはタイ、インド、オーストラリアでは生態の研究はかなり進んでおり、三国の研究の結果の共通点は、海域で産卵し、その稚魚は雨期終了後、河川に遡上し、アマモ場、マングローブ域を生育場とすることと書かれています。 さらに1985年から四万十川河口と周辺海域で木下博士らによって続けられている初期生態を中心とする調査の結果で、アカメの産卵はラテス・カルカリファと同様、海域であることは間違いないといわれています。その根拠について、木下博士たちの調査に参加したときお尋ねしたことがあるのですが、その答えは河口近くの浅海域で、河口内よりも小さい仔魚が出現すること。完熟卵を持つ成魚が河川内ではまったく出現しない(?)ことをあげられました。木下博士によると、これまでに採取された最小のアカメの稚魚は体長4.7mm。 生後約2週間と推測されるそうです。アカメは産卵してどれだけで孵化するかとお聞きしたところ、水温の高い(26度ほど)ときなら1日で孵化するとおもわれるとのことでした。

 アカメもラテス・カルカリファも卵は産みっぱなしの浮性卵です。

 ラテス・カルカリファの産卵についてNHKの番組で面白いドキュメントをやっていました。1998年に見たのですが、「新アジア発見」というタイトルの番組でシンガポールの養殖・種苗生産業者を取材したものでした。番組ではこの魚をスズキと呼んでいましたが映し出された体型や特徴からラテス・カルカリファに間違いありません。海に浮かべた生け簀の中で自然産卵させるのですが、スコールなどで大雨が降って塩分濃度が下がると卵が死んでしまうことがあるといっていました。

 ここでもうひと方、著名なアカメ研究者である宮崎大学の岩槻幸雄博士は、河口域での個体に核移動期の卵母細胞がみられたことから河口またはごく沿岸域であると推測{宮崎大学農学部研究報告Iwatsuki et al. 41(1)11-14(1994)}されています。1984年7月4日、宮崎県大淀川河口域で採集されたアカメで体長106.0cm、体重26.8kgだったそうです。

 もう一つ、関西を中心に長い間、非常に先鋭的な活動をしているルアーのクラブでスワックというクラブがあります。ヒラスズキの昼間の磯でのルアーでの釣りを広めた辻本隆さんがここにいました。彼が一番最初に釣ったアカメが♂で1987年8月14日未明、高知県奈半利川河口で海から数十メートル川に入った場所で釣ったもので、全長84センチ、8キロでした。釣り上げてアカメを抱き上げたときドバドバと放精したというのです。ある研究者にこの話をしたとき、「某海域回遊説はなくなったな、成熟した♂が河口内で釣れたという事実は、河口域かごく沿岸域で産卵している可能性が高く、その近くで産卵するはずだ。」といわれたのです。

 

 つづく。

 アカメのリリース考

 リリースについては、かく各ご意見がありいろんな場所で論議に花がさいています。ここでは一般的なリリースそのものではなく、アカメに限ってふれてみます。

 アカメはたいへん丈夫な魚です。標識放流のところで紹介した、わたしが釣りで再捕した標識魚にタグを打ったご本人にその時の話をお聞きしました。釣り上げた場所はある河口のテトラ上で計測したりするには最悪の場所です。釣り上げて計測し放流するまでに5分以上かかったようですが、その間アカメが暴れてストリンガーにかけたままテトラの間に落としたりしてかなりひどい状況であったようです。それでも、タグを打たれて放流されたアカメは立派に生きぬき、見事なプロポーションでわたしの前に現れました。桂浜水族館の職員でアカメ飼育の草分けである堀内(故)さんにもお聞きしましたが、アカメは確かに丈夫です。桂浜水族館で飼育展示しているほとんどのアカメは堀内さんが近くの浦戸湾で自分で釣って飼育されてきました。堀内(故)さんのお話では、鰓への傷は小さくても致命傷になることが多いそうで、リリースを前提に釣りをされる場合は、よほど気をつけたほうがよいようです。ルアーが喉深く入って鰓を傷つけたり、ギャフが入って出血したりした場合は、そのときは元気そうでもほとんどが落ちる(死亡する)ようです。こんな場合には残念ながらキープされたほうがよいでしょう。


建設中

 アカメの仲間たちへもどる   アカメの国の広報室へすすむ     とっぷへもどる